Bạn đang có dự định xây nhà nhưng chưa tìm được cho mình mẫu thiết kế ưng ý. Vậy hãy theo dõi bài viết dưới đây của chúng tôi để tham khảo những bản vẽ autocad nhà 1 trệt 2 lầu mà chúng tôi đã sưu tầm, chọn lọc. Từ đó có ý tưởng thiết kế cho ngôi nhà của mình độc đáo nhất nhé.
Top 10 bản vẽ autocad nhà 1 trệt 2 lầu chọn lọc
1. Nhà 1 trệt 2 lầu 3.5x17m

Ai đang có mảnh đất với mặt tiền nhỏ và chạy dài mà đang phân vân chưa biết xây dựng như nào để có một ngôi nhà đẹp thì bạn nên tham khảo mẫu nhà 1 trệt 2 lầu này của chúng tôi. Phối cảnh đã nói lên vẻ hiện đại sang trọng của ngôi nhà ở trên đất phố nên chi tiết này rất được coi trọng. Thiết kế giật cấp làm cho không gian nhà rộng hơn, tạo điểm nhấn cho ngôi nhà. Đây cũng là một trong những thiết kế đang được rất nhiều gia chủ lựa chọn để thiết kế cho ngôi nhà của mình. Ngoài ra, kiến trúc sư còn điểm thêm vài chi tiết mái che tạo nên sự đặc trưng riêng của ngôi nhà.
2. Nhà 1 trệt 2 lầu 3.8×15.3m

Cùng chiêm ngưỡng thiết kế siêu độc lạ trong thiết kế mẫu nhà này nhé. Với tầng 2 được thiết kế hiên rộng lệch ra ngoài rất nhiều. Lan can được thiết kế kiểu bậc thang rất độc đáo , đây cũng là điểm nhấn trong mẫu thiết kế này. Ngoài ra tầng 3 còn được thiết kế giếng trời với những họa tiết đơn giản đã tạo nên sự độc đáo, tinh tế mà kiến trúc sư muốn thiết kế cho gia chủ của mình. Một trong những mẫu thiết kế đáng để mọi người tham khảo.
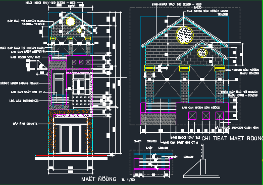
3. Nhà 1 trệt 2 lầu 3.8×16.2m

Thêm một mẫu thiết kế cho những ai đang ở thành thị nơi đất chật người đông. Một mẫu thiết kế mái chữ A tuy không còn mới mẻ nhưng đã được các kiến trúc sư khéo léo để tạo nên sự đặc biệt của ngôi nhà. Các hiên của các tầng đều được thiết kế các mái hiên lợp ngói làm cho ngôi nhà trở nên nổi bật hơn giữa nơi thành thị đông người.
4. Nhà 1 trệt 2 lầu 4x18m

Thiết kế giật cấp khá được ưa chuộng và được các kiến trúc sư khéo léo sử dụng cho gia chủ của mình. Ngôi nhà được thiết kế khá đơn giản nhưng với sự sắp xếp tinh tế các khối lồi lõm để tạo điểm nhấn cho ngôi nhà. Các lan can có kính cường lực tạo nên nét sang trọng, tạo nên cảm giác không gian ngôi nhà được rộng hơn với diện tích thật của nó.
5. Nhà 1 trệt 2 lầu 17x6m

Các chi tiết hình khối vuông vức lồi lõm là sự lựa chọn cho kiến trúc ngôi nhà này. Đây cũng là điểm độc đáo, tạo điểm nhấn đặc biệt của ngôi nhà. Ở không gian hiên tầng 2 thiết kế cây cảnh để làm cho ngôi nhà có nét hài hòa gần gũi với thiên nhiên thu hút ánh nhìn của mọi người. Mẫu thiết kế tuy có phần đơn giản nhưng vẫn mang được nét riêng đặc biệt.
6. Nhà 1 trệt 2 lầu 11x6m

Để kho mẫu nhà của chúng tôi thêm phong phú mình đã sưu tầm cho các bạn một mẫu nhà phố phong cách tân cổ điển với thiết kế mái chữ A rất giản dị gần gũi thôn quê. Các cột đá và cột gỗ đan xen lẫn nhau làm cho ngôi nhà rất hài hòa. Các khối chi tiết tầng 2 trở lên thì thò ra làm điểm nhấn cho ngôi nhà, làm cho ngôi nhà nhìn rất bắt mắt, cho thấy sự sáng tạo, kết hợp khéo léo của kiến trúc sư. Một mẫu nhà đáng để mọi người tham khảo.
7. Nhà 1 trệt 2 lầu 4x13m

Thiết kế giật cấp và giếng trời vẫn là 2 chi tiết được nhiều kiến trúc sư sử dụng để thiết kế cho nhiều công trình của mình. Nhìn vào chi tiết bản vẽ và phối cảnh của ngôi nhà ta thấy các bộ phận công trình đều được mỹ hóa bằng màu sắc, vật liệu thông minh, bền đẹp, đáp ứng tiện ích sinh hoạt vừa vặn, chức năng vẫn rất đầy đủ tiện nghi. Để ngôi nhà đạt nhiều thuận lợi trong quá trình sinh sống kiến trúc sư đã áp dụng nhiều giải pháp và nguồn vật liệu thông minh để cải tạo tự nhiên và thu hồi gió, lấy sáng, điều hòa không khí ổn định.
8. Nhà 1 trệt 2 lầu 4.5x18m

Đây là mẫu nhà nằm trong khu nhà phố sân vườn đẹp. Tuy thiết kế đơn giản không quá nhiều họa tiết nhưng vẫn không làm mất đi được vẻ sang trọng của ngôi nhà trong khu phố này. Ngoài ra, nó toát nên sự thanh lịch, giản dị của gia chủ mà vẫn tạo nên được sự sang trọng vốn có của nó. Đây là một trong những gợi ý cho các bạn để xây ngôi nhà ở khu đô thị nhé
9. Nhà 1 trệt 2 lầu 5x25m

Vẫn là kiến trúc khối rất đặc trưng với các nhà phố, vẫn là sự sắp xếp khéo léo của các kiến trúc sư để tạo nên một tác phẩm đẹp. Sự sắp xếp các khối tinh tế, và giếng trời của kiến trúc sư khi thiết kế ngôi nhà này tạo điểm nhấn cho ngôi nhà. Làm cho ngôi nhà trông rất sang trọng, lạ mắt người nhìn. Đây là một trong những mẫu theo xu thế hiện đại được rất nhiều người ưa chuộng.
10. Nhà 1 trệt 2 lầu 5x25m

Mẫu thiết kế nhà phố đẹp 3 tầng lầu có mặt tiền 3,5m đẹp thiết kế theo phong cách tân cổ điển, đẹp thời thượng và rất là hợp thời với lối kiến trúc tân cổ điển đẹp mới mẫu nhà này đã vô tình làm cho biết bao nhiêu người thích, mà có thể nói rằng ngày nay kiểu dáng thiết kế nhà kiến trúc mái thái cũng khá là được ưa chuộng vì phần mái thái thiết kế rất là đẹp khác lạ cho nên nếu quý khách có nhu cầu xây nhà thì nên chọn lựa kiến trúc mái thái là hợp nhất.
Top 10 mẫu thiết kế 1 trệt 2 lầu mà chúng tôi đã giới thiệu đến cho các bạn mong rằng các bạn có nhiều ý tưởng hơn trong thiết kế ngôi nhà mơ ước của mình. Để download các mẫu thiết kế vui lòng click vào đường link bên dưới. Chúc các bạn thành công!
https://drive.google.com/file/d/1byOdOxN-DrW9B7AWk-qZukh-jSUfcqso/view?usp=sharing

































